Расчет тепловых параметров воздушных завес с водяными теплообменниками
Для расчета тепловых параметров теплообменников принято применять или метод средних разностей температур, или метод NTU. Оба этих метода требуют использования достаточно сложного математического аппарата, специального программного обеспечения и обычно оправданны лишь при разработке и конструировании теплообменников на специализированных предприятиях. По этой причине использование упомянутых методов практически невозможно проектировщиками и инженерами тепловых сетей для пересчета тепловых параметров имеющихся конкретных водяных теплообменников воздушных завес или воздухообогревателей. В частности, когда требуется пересчитать тепловую мощность и температуры воды и воздуха на выходе теплообменника для заданных условий работы теплообменника на объекте (расходе воды через теплообменник и температуре воды и воздуха на входе теплообменника). Такой пересчет тепловых параметров можно произвести, используя Ск-метод и таблицы значений тепловой мощности при эталонных температурах, обычно указываемых производителями завес или воздухообогревателей в технической документации к оборудованию. В данной статье будут изложены основные принципы и некоторые подходы Ск-метода применительно к работе воздушных завес и воздухообогревателей с фиксированной скоростью обдува, то есть при постоянном расходе воздуха через теплообменник.
Параметр Ск и «упрощенный» подход к расчету тепловых параметров
Исходя из уравнения теплового баланса, если известны расходы и входные и выходные температуры воды и воздуха, тепловую мощность воздушной завесы или тепловентилятора с водяным теплообменником можно посчитать как через расход и разность средних температур воды, так и через расход и разность средних температур воздуха:

Здесь Q — тепловая мощность воздушной завесы или тепловентилятора в кВт; сw = 4,2 кДж/ (кг × град) — теплоемкость воды; G — расход воды через теплообменник в кг/с; Тг и Тх — температуры воды на входе и выходе теплообменника; сa = 1 кДж /(кг×град) — теплоемкость воздуха; Ga — расход воздуха через теплообменник в кг/с; То и Тв — температуры воздуха на входе и выходе теплообменника.
Обычно через разные участки теплообменника воздух проходит с различной скоростью. Температура воздушного потока с меньшей скоростью будет выше, чем у воздушного потока с большей скоростью, даже если нагрев теплообменника будет равномерным. Простое усреднение температур даст заниженное значение для средней температуры воздуха на выходе теплообменника. Поэтому для получения корректного значения средней температуры воздуха на выходе теплообменника следует производить усреднение с учетом значений скоростей воздуха в точках замера температур. На практике получить среднюю температуру воздуха на выходе теплообменника с хорошей степенью точности (доли градуса) непросто. К тому же в воздушных завесах теплообменник часто установлен перед вентилятором, и замеры оказывается возможным проводить не непосредственно после теплообменника, а только после того, как воздух пройдет через вентилятор. Что касается измерений средних температур воды, то погружные датчики могут обеспечить приемлемую степень точности замера средних температур воды на выходе и входе теплообменника. Поэтому обычно тепловую мощность теплообменника завесы или тепловентилятора получают по известным расходу воды и разности температур воды на входе и выходе теплообменника с помощью уравнения теплового баланса для воды:

а среднюю температуру воздуха на выходе завесы или тепловентилятора определяют из рассчитанной по воде тепловой мощности, расходу воздуха и температуре воздуха на входе теплообменника, то есть температуре окружающего воздуха. В дальнейшем при описании тепловых процессов в теплообменнике мы будем рассматривать только три температуры: температуру воды на входе теплообменника Тг , температуру воды на выходе теплообменника Тх и температуру окружающего воздуха То (температуру воздуха на входе теплообменника).

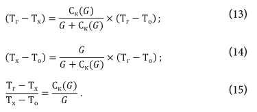
Рис. Постоянство соотношения разностей температур при неизменном расходе воды
Предлагаемая методика расчета с помощью параметра Cк основывается на двух основных принципах. В качестве первого принципа можно определить неизменность отношения разностей температур при неизменных расходах теплоносителей через теплообменник. Так, если при некотором определенном расходе воды через теплообменник и при работе завесы или тепловентилятора на некоторой фиксированной скорости вентилятора (здесь и в дальнейшем везде мы будем подразумевать, что скорость вентилятора неизменна и значения полученных констант относятся к работе вентилятора завесы или тепловентилятора именно на этой фиксированной скорости) мы будем изменять температуру воды на входе теплообменника или температуру воздуха на входе теплообменника (температуру окружающего воздуха), то отношение любых разностей температур Тг , Тх и То , например (Tг − Tх ) и ( Tх − To ), будет постоянным:

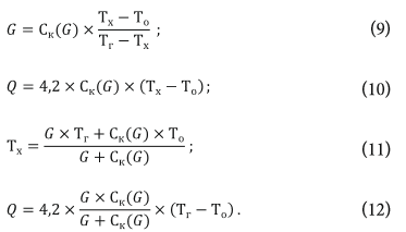
Неизменность отношений температур при неизменных расходах воды и воздуха вытекает из практической независимости в имеющихся реальных условиях теплового сопротивления между теплоносителями от температуры и неоднократно подтверждалась при замерах тепловых характеристик завес.
Второй принцип, который используется в методике расчета тепловых параметров, — это слабая зависимость величины Cк от расхода воды при малых расходах и почти постоянство ее при средних и больших расходах воды (при фиксированном расходе воздуха). Величина Cк определяется как произведение расхода воды на упомянутое ранее отношение температур:

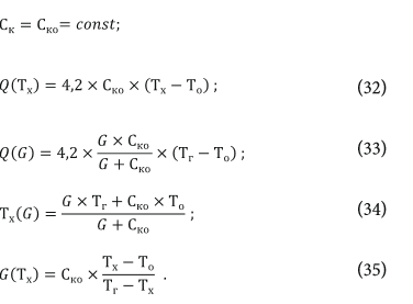
В большинстве случаев, когда рассматривается средний или большой расход воды (G>Cк) и если большая точность в расчетах тепловых параметров завесы или тепловентилятора не требуется, то можно использовать «упрощенный» подход к расчету тепловых параметров завес или тепловентиляторов с водяными теплообменниками. То есть рассматривать Cк как некоторую константу Cко, которая определяет основные тепловые параметры воздушной завесы или тепловентилятора с водяным теплообменником при работе на некоторой фиксированной скорости вентилятора. Тогда, определив и усреднив значения Cко при нескольких известных наборах входных параметров (значениях расхода воды, температур воды на входе и выходе теплообменника и температуры окружающего воздуха), можно через эту полученную среднюю Cко затем приближенно рассчитать для завесы или тепловентилятора расход воды, тепловую мощность и температуру воды на выходе теплообменника для имеющихся на объекте других входных параметров по формулам:

Эти формулы получены с использованием уравне - ния теплового баланса по воде (2).
Физический смысл параметра Cко заключается в следующем. Параметр Cко примерно равен расходу воды через теплообменник, когда значение температуры воды на выходе теплообменника оказывается посередине между значениями входных температур воды и воздуха.
В области средних и больших расходов воды, при G > Cк, то есть в рабочей области большинства завес и тепловентиляторов, величина Cк практически не меняется и переходит в константу. Для турбулентного течения воды при малых расходах воды по мере уменьшения расхода, когда G < Cк, величина Cк перестает быть независимой от расхода и начинает расти. При этом тепловая мощность завесы или тепловентилятора, рассчитанная при малых расходах воды с помощью Cко как константы, оказывается заниженной по сравнению с реальной тепловой мощностью прибора. Ошибка в значении мощности может достигать 10% и более. Если же рассматриваемые малые расходы воды попадают в область перехода течения из турбулентного в ламинарное, то по мере уменьшения расхода значение Cк вместо роста может начать снижаться.
Формулы (5) — (8), в которые входит Cк = Cко, будут справедливы даже с учетом имеющейся слабой зависимости Cк от расхода воды G:

В сущности, выражение (12) можно рассматривать как формулу Ньютона — Рихмана применительно к теплообменникам. В ней разность входных температур (Тг — То) представляет температурный напор между средами, а выражение

определяет коэффициент теплоотдачи теплообменника и его зависимость от расхода воды через теплообменник. Для теплообменников отсутствует пропорциональная зависимость мощности теплообменника от площади теплообменника: мощность теплообменника изменяется непропорционально удлинению или укорочению длины трубок теплообменника. Зависимость мощности теплообменника от реальной площади теплообменника «спрятана» в коэффициенте Cк, характеризующем тепловые свойства теплообменника.
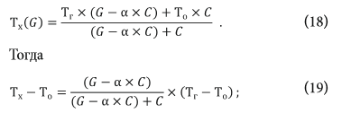
Приведем еще несколько выражений с Cк (G), которые могут быть полезны:

«Температурный» подход к определению зависимости C к от расхода воды
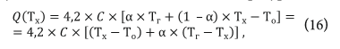
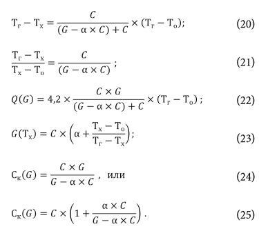
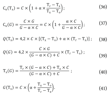
Если все же требуется бóльшая точность при расчете тепловых параметров завесы или тепловентилятора с водяным теплообменником, то следует учитывать имеющуюся слабую зависимость Cк от расхода воды. Алексей Пухов из компании «Тропик» предложил учитывать эту зависимость через замену в выражении (6) части величины Тх на величину Тг и введя вместо Cко две новые константы — С и α (условно назовем такой подход «температурным»):

где C и α — некоторые константы, характеризующие тепловые свойства теплообменника завесы или тепловентилятора при работе их на некоторой скорости вентилятора.
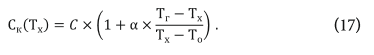
Выражение (16) существенно лучше, чем использующее константу Cко выражение (6), может описывать тепловую мощность теплообменника при малых расходах воды через теплообменник почти до расхода G = α × C. Сравнение выражений (6) и (16) показывает, что фактически роль Cк при «температурном» подходе выполняет выражение:

Эта зависимость Cк от расхода воды G неявная, через температуру воды на выходе теплообменника Тх. Приравняв выражения (4) и (17), можно получить, что


При больших расходах воды, когда G>> α × C, Cк переходит в константу, равную С.
Из выражения (19) следует, что при таком расходе воды, когда G < α × C, разность температур (Тх − То ) становится отрицательной, что не может иметь место в реальности, так как если температура воды на входе теплообменника выше температуры окружающего воздуха, то температура воды на выходе теплообменника не может быть ниже температуры окружающего воздуха. Таким образом, при очень малых расходах воды через теплообменник уже нельзя рассматривать С как величину, не зависящую от расхода воды G. Следует, однако, отметить, что в реальности обычно имеют дело с расходами G >> α × C. При расходах, меньших С (или Cко), тепловая мощность завес и тепловентиляторов резко падает и их использование становится неоправданным.
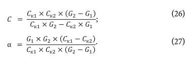
Рассчитать значения параметров C и α для конкретного теплообменника можно по координатам двух точек — (G1, Cк1) и (G2, Cк2), — через которые должна проходить аппроксимационная кривая (24), с помощью следующих формул:

«Расходовый» подход к определению зависимости Cк от расхода воды
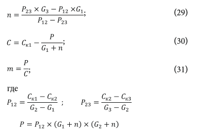
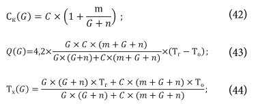
Избежать недостатка «температурной» аппроксимации (17), когда температура воды на выходе теплообменника при очень малых расходах оказывается ниже температуры окружающего воздуха, можно, если задать слабую зависимость Cк от G, например, в следующем виде («расходовый» подход):

Здесь константа С остается той же, что и при «температурном» подходе в выражении (25), но константа α в знаменателе дроби меняет знак и для определенности заменяется на константу n, а произведение констант α×С в числителе дроби выражения (25) заменяется новой константой m. Благодаря этому можно для конкретного теплообменника по экспериментальным данным предлагать более точную аппроксимацию зависимости от расхода воды параметра Cк и других параметров теплообменника даже при малых расходах воды и в районе перехода течения из турбулентного в ламинарный. В качестве недостатка можно отметить, что в отличие от «температурного» подхода при «расходовом» подходе выражения для тепловой мощности Q и параметра Cк имеют более сложный вид, в случае когда в качестве переменной выступает температура воздуха на выходе теплообменника Тх. Хотя при расчете параметров с помощью компьютера это не должно быть большим препятствием.
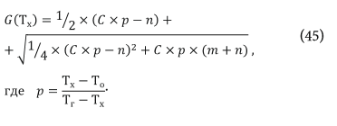
Расчет значений параметров C, m и n можно произвести по координатам трех точек — (G1, Cк1), (G2, Cк2) и (G3, Cк3), — через которые должна пройти аппроксимационная кривая (28), с помощью следующих формул:

Ниже приводятся формулы для представленных трех подходов к расчету основных тепловых параметров завес и тепловентиляторов с водяными теплообменниками.
«Упрощенный» подход

«Температурный» подход

«Расходовый» подход


Статья подготовлена специалистами компании Антарес.
Источник: Вестник УКЦ АПИК


